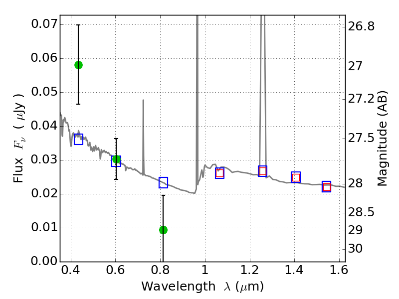
WHL0137-08 ACS+IR detection object #409

Color images and BPZ results
Catalog: 409.cat
Black segments are analyzed here.   Roll mouse over color images to view segments.
Best viewed in a wide browser window (1200 pixels or more).   Download SED & P(z) plots to view larger versions.
In P(z) plots: Yellow lines mark the cluster redshift z = 0.566,  

Object #409   x,y = (1445, 4203)   RA, Dec = (01:37:29.400, -8:25:39.36) = (24.37250, -8.42760)   BPZ = 1.594 [1.086--2.697]   type = 11.00 (SB11_A_0_l)   chisq2 = 7.00   ODDS = 0.18   z_cluster = 0.566