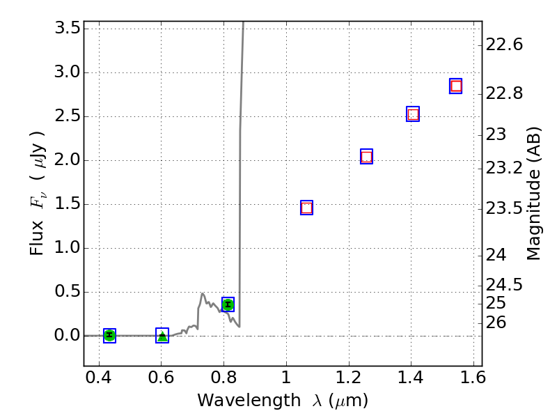
WHL0137-08 ACS+IR detection object #3967

Color images and BPZ results
Catalog: 3967.cat
Black segments are analyzed here.   Roll mouse over color images to view segments.
Best viewed in a wide browser window (1200 pixels or more).   Download SED & P(z) plots to view larger versions.
In P(z) plots: Yellow lines mark the cluster redshift z = 0.566,  

Object #3967   x,y = (4151, 1970)   RA, Dec = (01:37:18.456, -8:27:53.28) = (24.32690, -8.46480)   BPZ = 6.005 [3.295--8.959]   type = 6.00 (Sbc_B10)   chisq2 = 0.00   ODDS = 0.31   z_cluster = 0.566