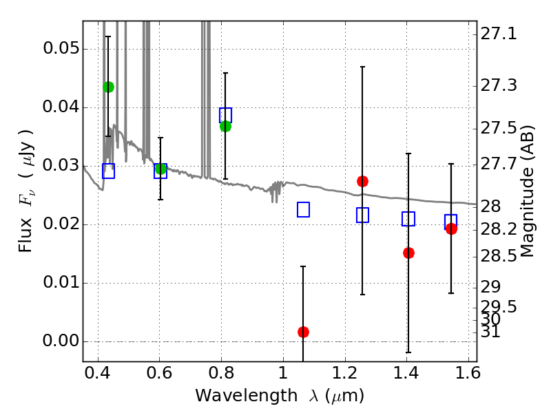
WHL0137-08 ACS+IR detection object #3959

Color images and BPZ results
Catalog: 3959.cat
Black segments are analyzed here.   Roll mouse over color images to view segments.
Best viewed in a wide browser window (1200 pixels or more).   Download SED & P(z) plots to view larger versions.
In P(z) plots: Yellow lines mark the cluster redshift z = 0.566,  

Object #3959   x,y = (3506, 1977)   RA, Dec = (01:37:21.048, -8:27:52.92) = (24.33770, -8.46470)   BPZ = 0.130 [0.092--2.943]   type = 11.00 (SB11_A_0_l)   chisq2 = 0.90   ODDS = 0.09   z_cluster = 0.566