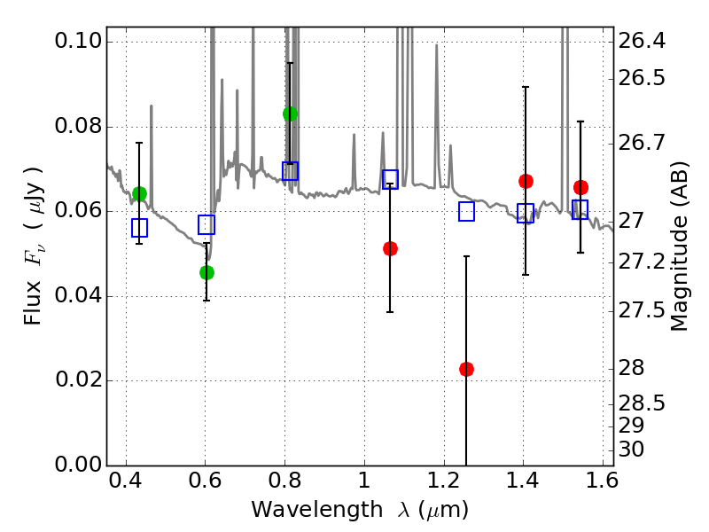
WHL0137-08 ACS+IR detection object #3858

Color images and BPZ results
Catalog: 3858.cat
Black segments are analyzed here.   Roll mouse over color images to view segments.
Best viewed in a wide browser window (1200 pixels or more).   Download SED & P(z) plots to view larger versions.
In P(z) plots: Yellow lines mark the cluster redshift z = 0.566,  

Object #3858   x,y = (1863, 2028)   RA, Dec = (01:37:27.696, -8:27:50.04) = (24.36540, -8.46390)   BPZ = 0.659 [0.137--2.277]   type = 10.40 (SB3_B10 - SB11_A_0_l)   chisq2 = 1.12   ODDS = 0.27   z_cluster = 0.566