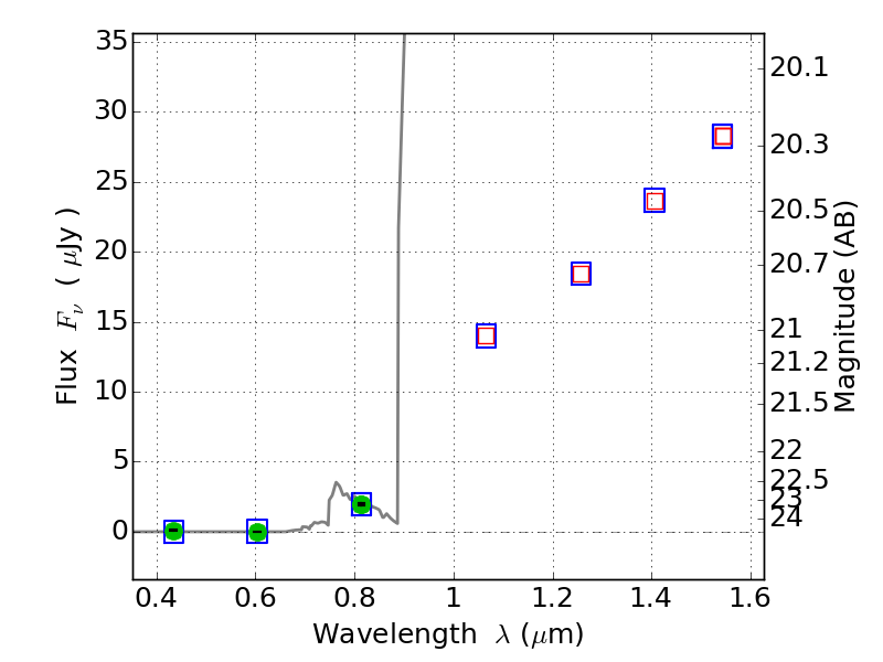
WHL0137-08 ACS+IR detection object #3787

Color images and BPZ results
Catalog: 3787.cat
Black segments are analyzed here.   Roll mouse over color images to view segments.
Best viewed in a wide browser window (1200 pixels or more).   Download SED & P(z) plots to view larger versions.
In P(z) plots: Yellow lines mark the cluster redshift z = 0.566,  

Object #3787   x,y = (284, 2074)   RA, Dec = (01:37:34.080, -8:27:47.16) = (24.39200, -8.46310)   BPZ = 6.297 [5.991--8.802]   type = 6.00 (Sbc_B10)   chisq2 = 0.00   ODDS = 0.46   z_cluster = 0.566