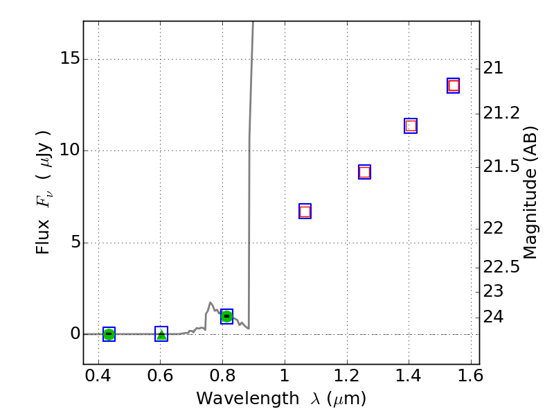
WHL0137-08 ACS+IR detection object #357

Color images and BPZ results
Catalog: 357.cat
Black segments are analyzed here.   Roll mouse over color images to view segments.
Best viewed in a wide browser window (1200 pixels or more).   Download SED & P(z) plots to view larger versions.
In P(z) plots: Yellow lines mark the cluster redshift z = 0.566,  

Object #357   x,y = (1456, 4264)   RA, Dec = (01:37:29.352, -8:25:35.76) = (24.37230, -8.42660)   BPZ = 6.278 [5.909--8.786]   type = 6.00 (Sbc_B10)   chisq2 = 0.00   ODDS = 0.41   z_cluster = 0.566