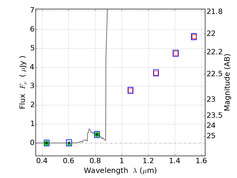
WHL0137-08 ACS+IR detection object #3492

Color images and BPZ results
Catalog: 3492.cat
Black segments are analyzed here.   Roll mouse over color images to view segments.
Best viewed in a wide browser window (1200 pixels or more).   Download SED & P(z) plots to view larger versions.
In P(z) plots: Yellow lines mark the cluster redshift z = 0.566,  

Object #3492   x,y = (4298, 2240)   RA, Dec = (01:37:17.856, -8:27:37.08) = (24.32440, -8.46030)   BPZ = 6.234 [5.810--8.975]   type = 6.00 (Sbc_B10)   chisq2 = 0.00   ODDS = 0.37   z_cluster = 0.566