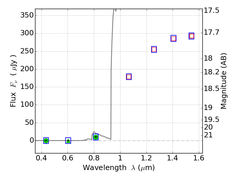
WHL0137-08 ACS+IR detection object #3209

Color images and BPZ results
Catalog: 3209.cat
Black segments are analyzed here.   Roll mouse over color images to view segments.
Best viewed in a wide browser window (1200 pixels or more).   Download SED & P(z) plots to view larger versions.
In P(z) plots: Yellow lines mark the cluster redshift z = 0.566,  

Object #3209   x,y = (405, 2352)   RA, Dec = (01:37:33.600, -8:27:30.60) = (24.39000, -8.45850)   BPZ = 6.654 [6.426--7.913]   type = 7.00 (Scd_B10)   chisq2 = 0.00   ODDS = 0.68   z_cluster = 0.566