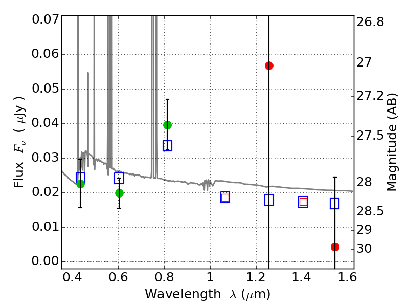
WHL0137-08 ACS+IR detection object #3195

Color images and BPZ results
Catalog: 3195.cat
Black segments are analyzed here.   Roll mouse over color images to view segments.
Best viewed in a wide browser window (1200 pixels or more).   Download SED & P(z) plots to view larger versions.
In P(z) plots: Yellow lines mark the cluster redshift z = 0.566,  

Object #3195   x,y = (3448, 2364)   RA, Dec = (01:37:21.288, -8:27:29.88) = (24.33870, -8.45830)   BPZ = 0.140 [0.098--2.481]   type = 11.00 (SB11_A_0_l)   chisq2 = 0.64   ODDS = 0.20   z_cluster = 0.566