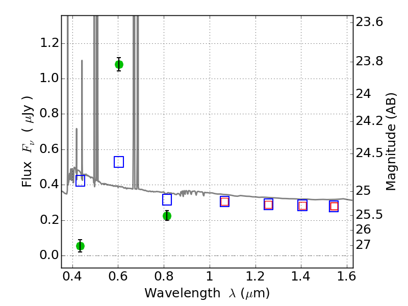
WHL0137-08 ACS+IR detection object #3007

Color images and BPZ results
Catalog: 3007.cat
Black segments are analyzed here.   Roll mouse over color images to view segments.
Best viewed in a wide browser window (1200 pixels or more).   Download SED & P(z) plots to view larger versions.
In P(z) plots: Yellow lines mark the cluster redshift z = 0.566,  

Object #3007   x,y = (456, 2451)   RA, Dec = (01:37:33.384, -8:27:24.48) = (24.38910, -8.45680)   BPZ = 0.016 [0.010--0.032]   type = 11.00 (SB11_A_0_l)   chisq2 = 178.70   ODDS = 1.00   z_cluster = 0.566