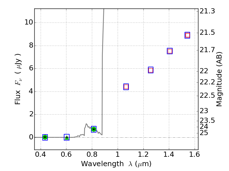
WHL0137-08 ACS+IR detection object #2886

Color images and BPZ results
Catalog: 2886.cat
Black segments are analyzed here.   Roll mouse over color images to view segments.
Best viewed in a wide browser window (1200 pixels or more).   Download SED & P(z) plots to view larger versions.
In P(z) plots: Yellow lines mark the cluster redshift z = 0.566,  

Object #2886   x,y = (486, 2518)   RA, Dec = (01:37:33.264, -8:27:20.52) = (24.38860, -8.45570)   BPZ = 6.231 [5.796--8.878]   type = 6.00 (Sbc_B10)   chisq2 = 0.00   ODDS = 0.39   z_cluster = 0.566