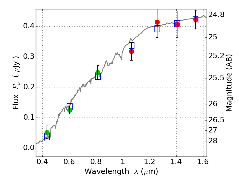
WHL0137-08 ACS+IR detection object #2855

Color images and BPZ results
Catalog: 2855.cat
Black segments are analyzed here.   Roll mouse over color images to view segments.
Best viewed in a wide browser window (1200 pixels or more).   Download SED & P(z) plots to view larger versions.
In P(z) plots: Yellow lines mark the cluster redshift z = 0.566,  

Object #2855   x,y = (3459, 2526)   RA, Dec = (01:37:21.240, -8:27:20.16) = (24.33850, -8.45560)   BPZ = 0.163 [0.061--0.955]   type = 3.90 (Ell4_A_0 - Ell5_A_0)   chisq2 = 0.12   ODDS = 0.21   z_cluster = 0.566