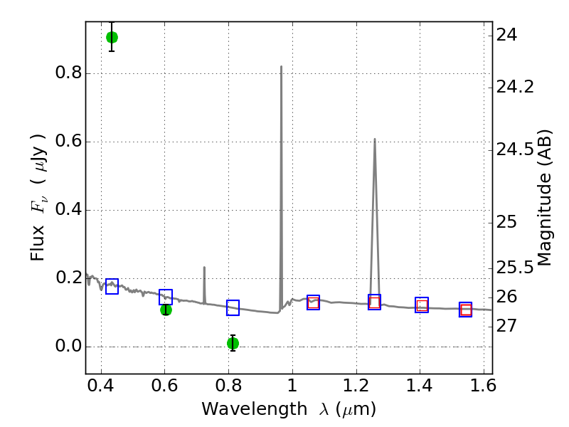
WHL0137-08 ACS+IR detection object #2805

Color images and BPZ results
Catalog: 2805.cat
Black segments are analyzed here.   Roll mouse over color images to view segments.
Best viewed in a wide browser window (1200 pixels or more).   Download SED & P(z) plots to view larger versions.
In P(z) plots: Yellow lines mark the cluster redshift z = 0.566,  

Object #2805   x,y = (4443, 2562)   RA, Dec = (01:37:17.256, -8:27:18.00) = (24.32190, -8.45500)   BPZ = 1.592 [1.391--2.142]   type = 11.00 (SB11_A_0_l)   chisq2 = 304.30   ODDS = 0.47   z_cluster = 0.566