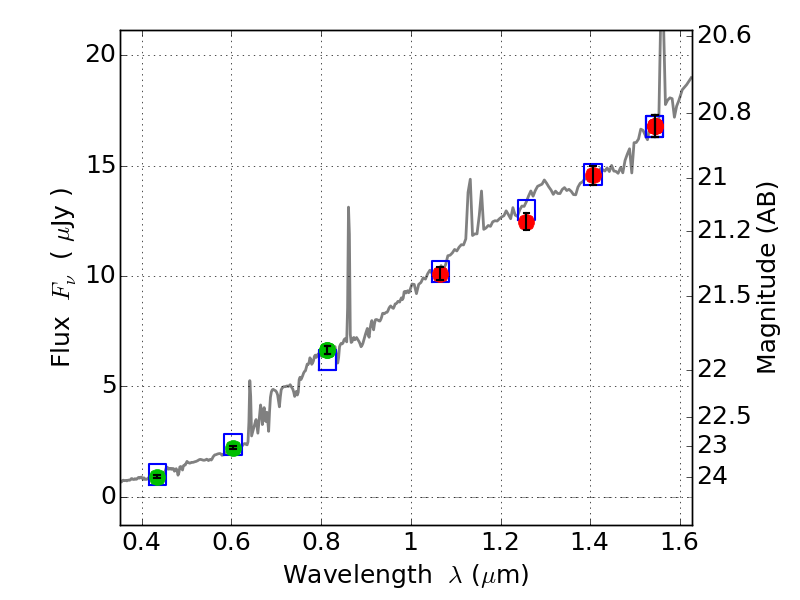
WHL0137-08 ACS+IR detection object #2706

Color images and BPZ results
Catalog: 2706.cat
Black segments are analyzed here.   Roll mouse over color images to view segments.
Best viewed in a wide browser window (1200 pixels or more).   Download SED & P(z) plots to view larger versions.
In P(z) plots: Yellow lines mark the cluster redshift z = 0.566,  

Object #2706   x,y = (2391, 2605)   RA, Dec = (01:37:25.560, -8:27:15.48) = (24.35650, -8.45430)   BPZ = 0.718 [0.603--0.793]   type = 6.50 (Scd_B10 - Sbc_B10)   chisq2 = 0.08   ODDS = 0.85   z_cluster = 0.566