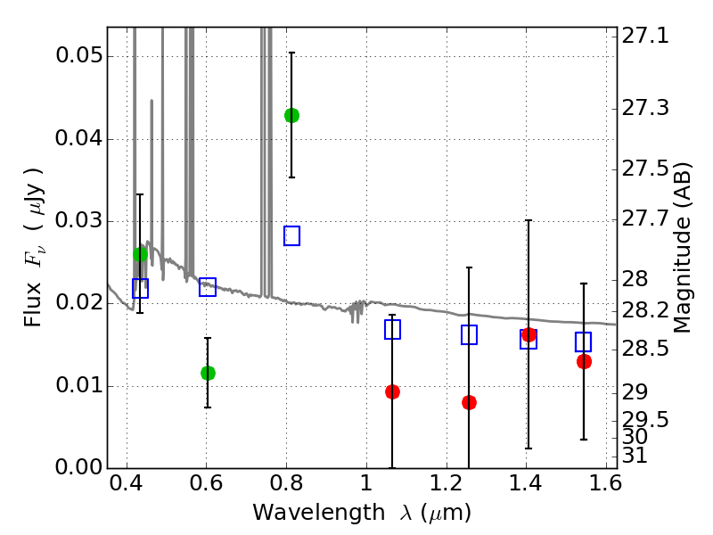
WHL0137-08 ACS+IR detection object #2662

Color images and BPZ results
Catalog: 2662.cat
Black segments are analyzed here.   Roll mouse over color images to view segments.
Best viewed in a wide browser window (1200 pixels or more).   Download SED & P(z) plots to view larger versions.
In P(z) plots: Yellow lines mark the cluster redshift z = 0.566,  

Object #2662   x,y = (3309, 2636)   RA, Dec = (01:37:21.840, -8:27:13.32) = (24.34100, -8.45370)   BPZ = 0.133 [0.090--1.037]   type = 11.00 (SB11_A_0_l)   chisq2 = 1.94   ODDS = 0.50   z_cluster = 0.566