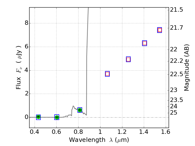
WHL0137-08 ACS+IR detection object #263

Color images and BPZ results
Catalog: 263.cat
Black segments are analyzed here.   Roll mouse over color images to view segments.
Best viewed in a wide browser window (1200 pixels or more).   Download SED & P(z) plots to view larger versions.
In P(z) plots: Yellow lines mark the cluster redshift z = 0.566,  

Object #263   x,y = (1516, 4414)   RA, Dec = (01:37:29.112, -8:25:26.76) = (24.37130, -8.42410)   BPZ = 6.213 [5.831--8.961]   type = 6.00 (Sbc_B10)   chisq2 = 0.00   ODDS = 0.40   z_cluster = 0.566