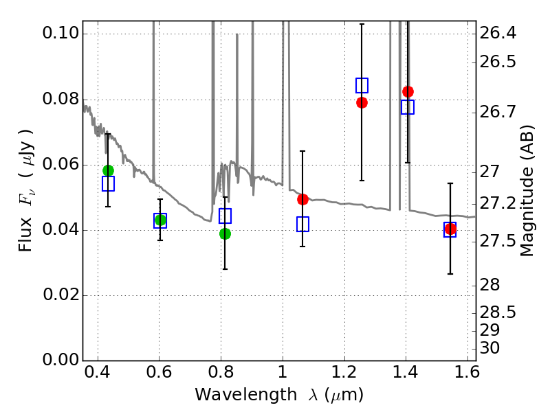
WHL0137-08 ACS+IR detection object #2584

Color images and BPZ results
Catalog: 2584.cat
Black segments are analyzed here.   Roll mouse over color images to view segments.
Best viewed in a wide browser window (1200 pixels or more).   Download SED & P(z) plots to view larger versions.
In P(z) plots: Yellow lines mark the cluster redshift z = 0.566,  

Object #2584   x,y = (1800, 2679)   RA, Dec = (01:37:27.960, -8:27:10.80) = (24.36650, -8.45300)   BPZ = 1.077 [0.785--2.494]   type = 11.00 (SB11_A_0_l)   chisq2 = 0.12   ODDS = 0.23   z_cluster = 0.566