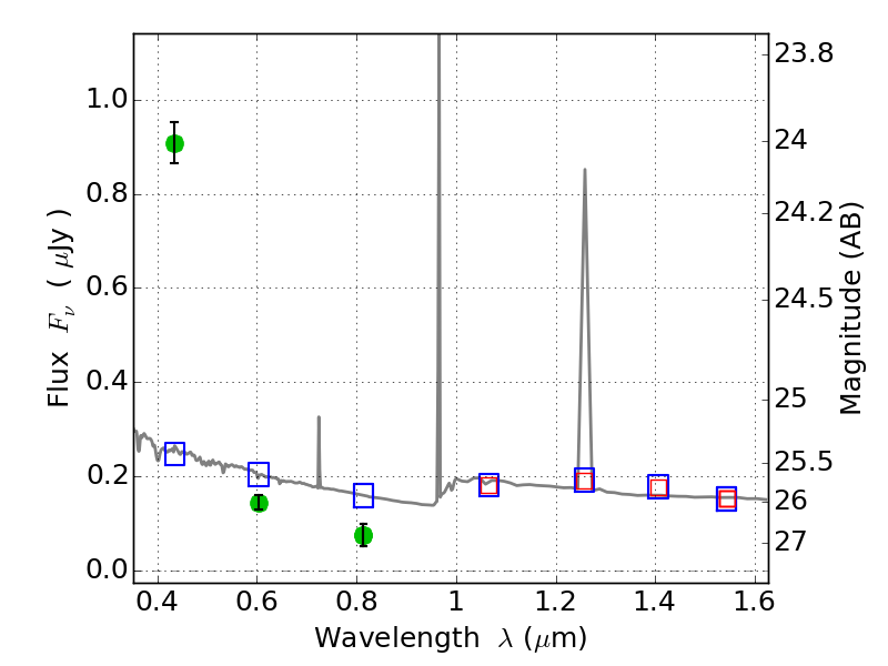
WHL0137-08 ACS+IR detection object #2396

Color images and BPZ results
Catalog: 2396.cat
Black segments are analyzed here.   Roll mouse over color images to view segments.
Best viewed in a wide browser window (1200 pixels or more).   Download SED & P(z) plots to view larger versions.
In P(z) plots: Yellow lines mark the cluster redshift z = 0.566,  

Object #2396   x,y = (4586, 2769)   RA, Dec = (01:37:16.680, -8:27:05.40) = (24.31950, -8.45150)   BPZ = 1.591 [1.372--2.125]   type = 11.00 (SB11_A_0_l)   chisq2 = 232.20   ODDS = 0.51   z_cluster = 0.566