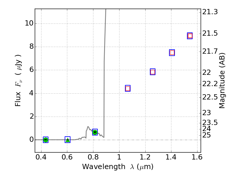
WHL0137-08 ACS+IR detection object #2372

Color images and BPZ results
Catalog: 2372.cat
Black segments are analyzed here.   Roll mouse over color images to view segments.
Best viewed in a wide browser window (1200 pixels or more).   Download SED & P(z) plots to view larger versions.
In P(z) plots: Yellow lines mark the cluster redshift z = 0.566,  

Object #2372   x,y = (4555, 2783)   RA, Dec = (01:37:16.824, -8:27:04.68) = (24.32010, -8.45130)   BPZ = 6.274 [5.877--8.912]   type = 6.00 (Sbc_B10)   chisq2 = 0.00   ODDS = 0.38   z_cluster = 0.566