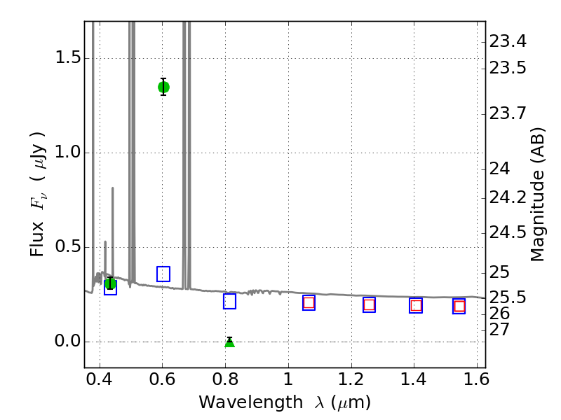
WHL0137-08 ACS+IR detection object #2354

Color images and BPZ results
Catalog: 2354.cat
Black segments are analyzed here.   Roll mouse over color images to view segments.
Best viewed in a wide browser window (1200 pixels or more).   Download SED & P(z) plots to view larger versions.
In P(z) plots: Yellow lines mark the cluster redshift z = 0.566,  

Object #2354   x,y = (649, 2787)   RA, Dec = (01:37:32.616, -8:27:04.32) = (24.38590, -8.45120)   BPZ = 0.016 [0.010--0.032]   type = 11.00 (SB11_A_0_l)   chisq2 = 488.70   ODDS = 1.00   z_cluster = 0.566