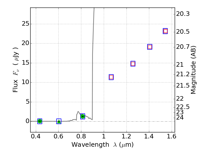
WHL0137-08 ACS+IR detection object #2240

Color images and BPZ results
Catalog: 2240.cat
Black segments are analyzed here.   Roll mouse over color images to view segments.
Best viewed in a wide browser window (1200 pixels or more).   Download SED & P(z) plots to view larger versions.
In P(z) plots: Yellow lines mark the cluster redshift z = 0.566,  

Object #2240   x,y = (4603, 2848)   RA, Dec = (01:37:16.608, -8:27:00.72) = (24.31920, -8.45020)   BPZ = 6.404 [6.003--8.931]   type = 6.00 (Sbc_B10)   chisq2 = 0.00   ODDS = 0.43   z_cluster = 0.566