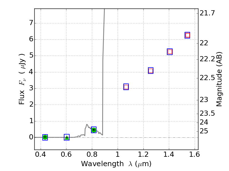
WHL0137-08 ACS+IR detection object #2200

Color images and BPZ results
Catalog: 2200.cat
Black segments are analyzed here.   Roll mouse over color images to view segments.
Best viewed in a wide browser window (1200 pixels or more).   Download SED & P(z) plots to view larger versions.
In P(z) plots: Yellow lines mark the cluster redshift z = 0.566,  

Object #2200   x,y = (779, 3080)   RA, Dec = (01:37:32.088, -8:26:46.68) = (24.38370, -8.44630)   BPZ = 6.274 [5.872--9.076]   type = 6.00 (Sbc_B10)   chisq2 = 0.00   ODDS = 0.37   z_cluster = 0.566