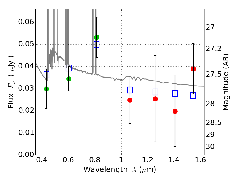
WHL0137-08 ACS+IR detection object #2189

Color images and BPZ results
Catalog: 2189.cat
Black segments are analyzed here.   Roll mouse over color images to view segments.
Best viewed in a wide browser window (1200 pixels or more).   Download SED & P(z) plots to view larger versions.
In P(z) plots: Yellow lines mark the cluster redshift z = 0.566,  

Object #2189   x,y = (3013, 3029)   RA, Dec = (01:37:23.040, -8:26:49.92) = (24.34600, -8.44720)   BPZ = 0.201 [0.104--3.463]   type = 11.00 (SB11_A_0_l)   chisq2 = 0.69   ODDS = 0.17   z_cluster = 0.566