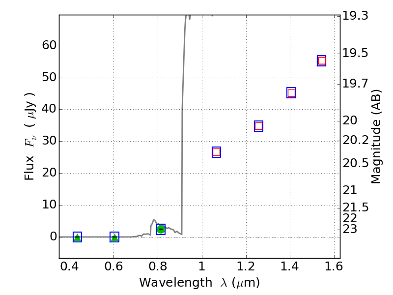
WHL0137-08 ACS+IR detection object #2020

Color images and BPZ results
Catalog: 2020.cat
Black segments are analyzed here.   Roll mouse over color images to view segments.
Best viewed in a wide browser window (1200 pixels or more).   Download SED & P(z) plots to view larger versions.
In P(z) plots: Yellow lines mark the cluster redshift z = 0.566,  

Object #2020   x,y = (746, 2955)   RA, Dec = (01:37:32.208, -8:26:54.24) = (24.38420, -8.44840)   BPZ = 6.479 [6.226--8.580]   type = 6.00 (Sbc_B10)   chisq2 = 0.00   ODDS = 0.48   z_cluster = 0.566