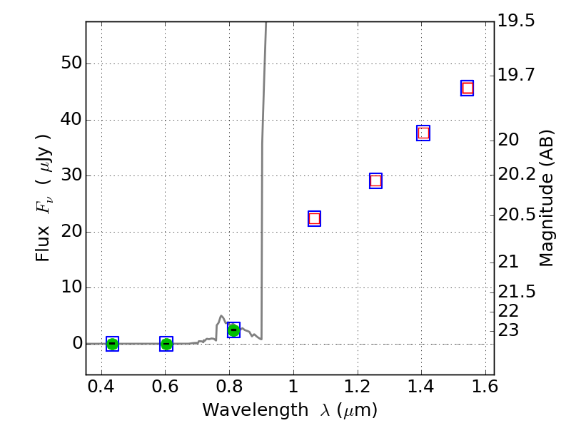
WHL0137-08 ACS+IR detection object #200

Color images and BPZ results
Catalog: 200.cat
Black segments are analyzed here.   Roll mouse over color images to view segments.
Best viewed in a wide browser window (1200 pixels or more).   Download SED & P(z) plots to view larger versions.
In P(z) plots: Yellow lines mark the cluster redshift z = 0.566,  

Object #200   x,y = (1550, 4504)   RA, Dec = (01:37:28.968, -8:25:21.36) = (24.37070, -8.42260)   BPZ = 6.406 [6.079--8.548]   type = 6.00 (Sbc_B10)   chisq2 = 0.00   ODDS = 0.50   z_cluster = 0.566