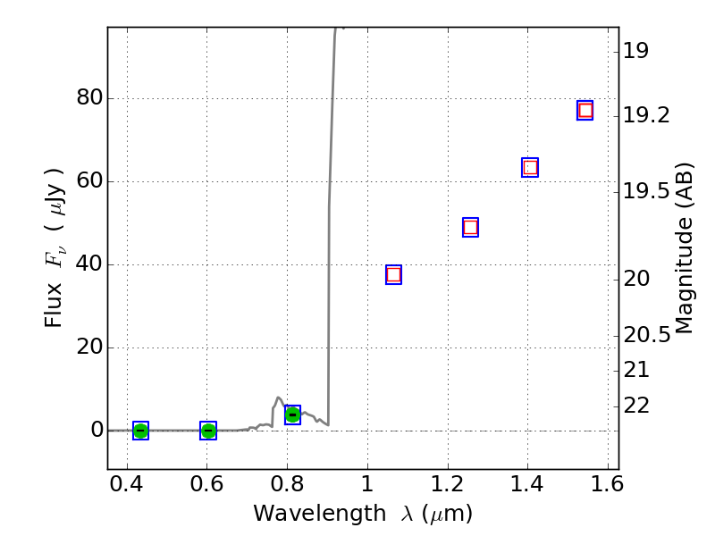
WHL0137-08 ACS+IR detection object #1969

Color images and BPZ results
Catalog: 1969.cat
Black segments are analyzed here.   Roll mouse over color images to view segments.
Best viewed in a wide browser window (1200 pixels or more).   Download SED & P(z) plots to view larger versions.
In P(z) plots: Yellow lines mark the cluster redshift z = 0.566,  

Object #1969   x,y = (732, 2970)   RA, Dec = (01:37:32.280, -8:26:53.52) = (24.38450, -8.44820)   BPZ = 6.441 [6.195--8.299]   type = 6.00 (Sbc_B10)   chisq2 = 0.00   ODDS = 0.60   z_cluster = 0.566