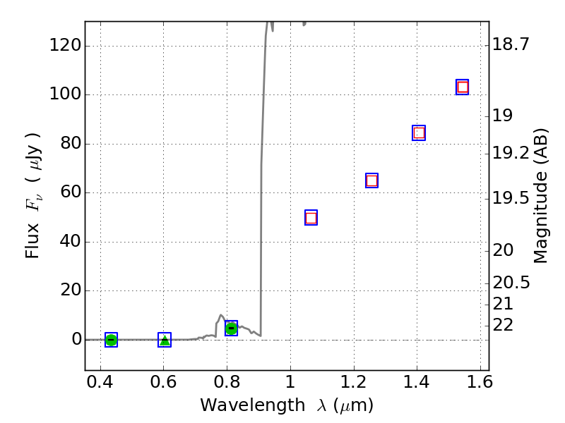
WHL0137-08 ACS+IR detection object #1765

Color images and BPZ results
Catalog: 1765.cat
Black segments are analyzed here.   Roll mouse over color images to view segments.
Best viewed in a wide browser window (1200 pixels or more).   Download SED & P(z) plots to view larger versions.
In P(z) plots: Yellow lines mark the cluster redshift z = 0.566,  

Object #1765   x,y = (861, 3165)   RA, Dec = (01:37:31.752, -8:26:41.64) = (24.38230, -8.44490)   BPZ = 6.473 [6.215--8.232]   type = 6.00 (Sbc_B10)   chisq2 = 0.00   ODDS = 0.55   z_cluster = 0.566