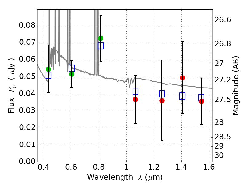
WHL0137-08 ACS+IR detection object #1735

Color images and BPZ results
Catalog: 1735.cat
Black segments are analyzed here.   Roll mouse over color images to view segments.
Best viewed in a wide browser window (1200 pixels or more).   Download SED & P(z) plots to view larger versions.
In P(z) plots: Yellow lines mark the cluster redshift z = 0.566,  

Object #1735   x,y = (2850, 3186)   RA, Dec = (01:37:23.712, -8:26:40.56) = (24.34880, -8.44460)   BPZ = 0.178 [0.089--3.079]   type = 11.00 (SB11_A_0_l)   chisq2 = 0.11   ODDS = 0.33   z_cluster = 0.566