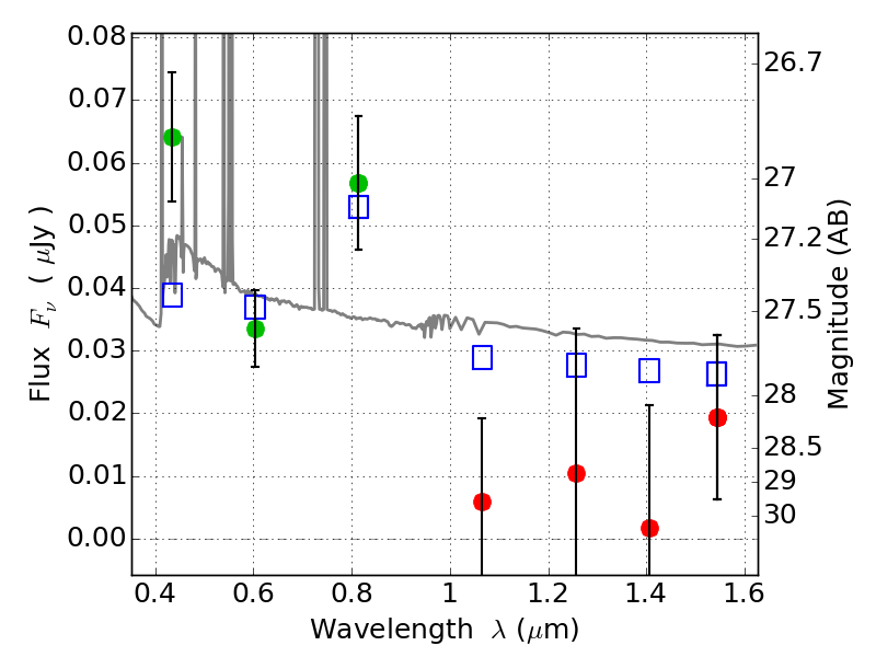
WHL0137-08 ACS+IR detection object #1599

Color images and BPZ results
Catalog: 1599.cat
Black segments are analyzed here.   Roll mouse over color images to view segments.
Best viewed in a wide browser window (1200 pixels or more).   Download SED & P(z) plots to view larger versions.
In P(z) plots: Yellow lines mark the cluster redshift z = 0.566,  

Object #1599   x,y = (3284, 3275)   RA, Dec = (01:37:21.960, -8:26:35.16) = (24.34150, -8.44310)   BPZ = 0.111 [0.081--2.439]   type = 11.00 (SB11_A_0_l)   chisq2 = 1.64   ODDS = 0.51   z_cluster = 0.566