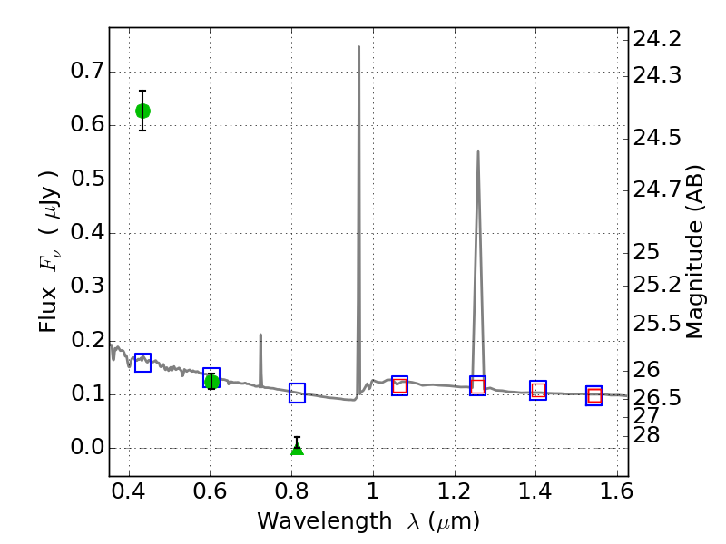
WHL0137-08 ACS+IR detection object #1376

Color images and BPZ results
Catalog: 1376.cat
Black segments are analyzed here.   Roll mouse over color images to view segments.
Best viewed in a wide browser window (1200 pixels or more).   Download SED & P(z) plots to view larger versions.
In P(z) plots: Yellow lines mark the cluster redshift z = 0.566,  

Object #1376   x,y = (960, 3417)   RA, Dec = (01:37:31.344, -8:26:26.52) = (24.38060, -8.44070)   BPZ = 1.593 [1.403--2.146]   type = 11.00 (SB11_A_0_l)   chisq2 = 183.20   ODDS = 0.46   z_cluster = 0.566