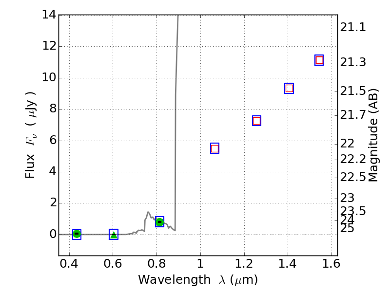
WHL0137-08 ACS+IR detection object #1363

Color images and BPZ results
Catalog: 1363.cat
Black segments are analyzed here.   Roll mouse over color images to view segments.
Best viewed in a wide browser window (1200 pixels or more).   Download SED & P(z) plots to view larger versions.
In P(z) plots: Yellow lines mark the cluster redshift z = 0.566,  

Object #1363   x,y = (991, 3425)   RA, Dec = (01:37:31.224, -8:26:26.16) = (24.38010, -8.44060)   BPZ = 6.276 [5.893--9.105]   type = 6.00 (Sbc_B10)   chisq2 = 0.01   ODDS = 0.39   z_cluster = 0.566