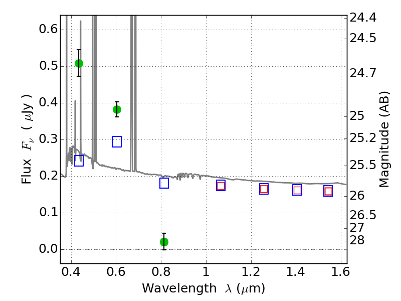
WHL0137-08 ACS+IR detection object #136

Color images and BPZ results
Catalog: 136.cat
Black segments are analyzed here.   Roll mouse over color images to view segments.
Best viewed in a wide browser window (1200 pixels or more).   Download SED & P(z) plots to view larger versions.
In P(z) plots: Yellow lines mark the cluster redshift z = 0.566,  

Object #136   x,y = (1596, 4611)   RA, Dec = (01:37:28.776, -8:25:14.88) = (24.36990, -8.42080)   BPZ = 0.019 [0.010--0.039]   type = 11.00 (SB11_A_0_l)   chisq2 = 108.50   ODDS = 1.00   z_cluster = 0.566