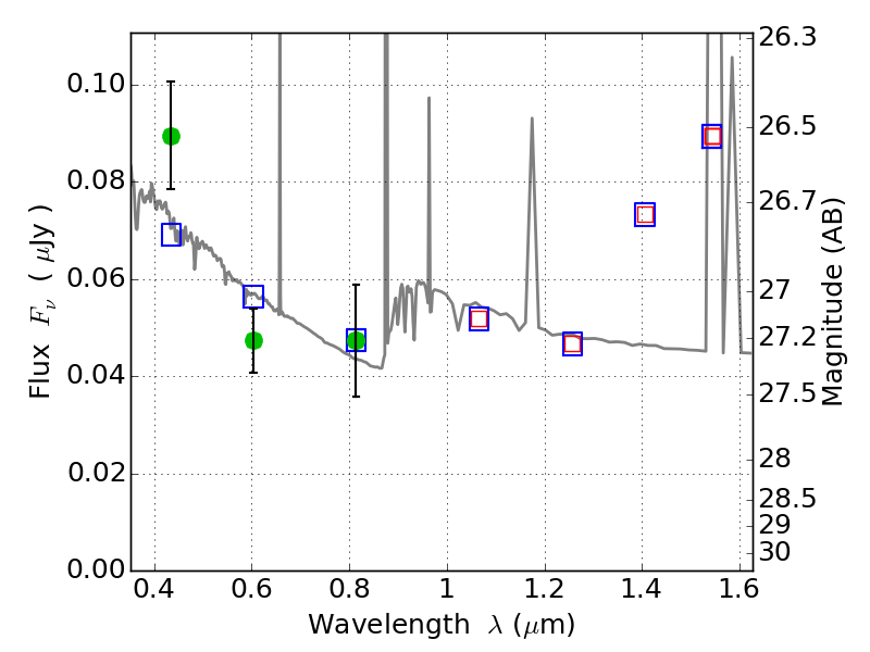
WHL0137-08 ACS+IR detection object #1300

Color images and BPZ results
Catalog: 1300.cat
Black segments are analyzed here.   Roll mouse over color images to view segments.
Best viewed in a wide browser window (1200 pixels or more).   Download SED & P(z) plots to view larger versions.
In P(z) plots: Yellow lines mark the cluster redshift z = 0.566,  

Object #1300   x,y = (3710, 3412)   RA, Dec = (01:37:20.232, -8:26:26.88) = (24.33430, -8.44080)   BPZ = 1.352 [0.944--2.434]   type = 11.00 (SB11_A_0_l)   chisq2 = 3.67   ODDS = 0.16   z_cluster = 0.566