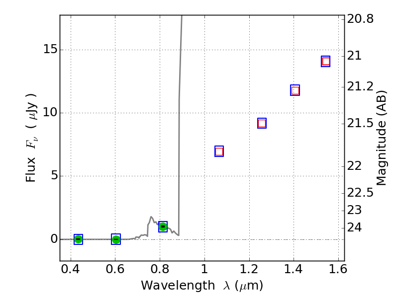
WHL0137-08 ACS+IR detection object #1184

Color images and BPZ results
Catalog: 1184.cat
Black segments are analyzed here.   Roll mouse over color images to view segments.
Best viewed in a wide browser window (1200 pixels or more).   Download SED & P(z) plots to view larger versions.
In P(z) plots: Yellow lines mark the cluster redshift z = 0.566,  

Object #1184   x,y = (1068, 3549)   RA, Dec = (01:37:30.912, -8:26:18.60) = (24.37880, -8.43850)   BPZ = 6.279 [5.924--8.849]   type = 6.00 (Sbc_B10)   chisq2 = 0.00   ODDS = 0.41   z_cluster = 0.566