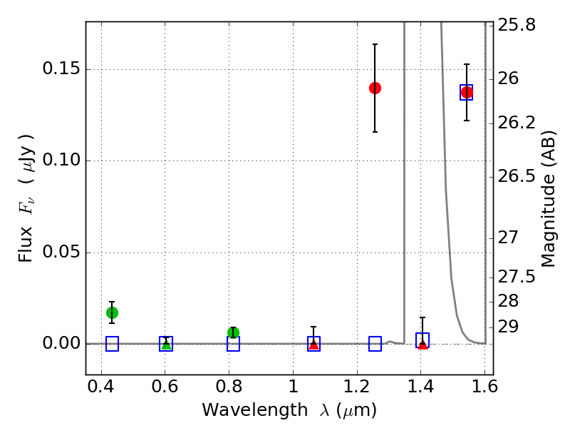
SPT0615-57 IR detection object #990

Color images and BPZ results
Catalog: 990.cat
Black segments are analyzed here.   Roll mouse over color images to view segments.
Best viewed in a wide browser window (1200 pixels or more).   Download SED & P(z) plots to view larger versions.
In P(z) plots: Yellow lines mark the cluster redshift z = 0.972,  

Object #990   x,y = (6412, 6824)   RA, Dec = (06:15:50.376, -57:46:13.08) = (93.95990, -57.77030)   BPZ = 12.252 [11.514--12.960]   type = 11.00 (SB11_A_0_l)   stellarity = 0.77   chisq2 = 8.11   ODDS = 0.81   z_cluster = 0.972