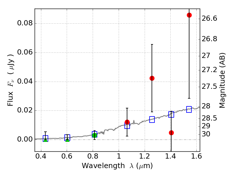
SPT0615-57 IR detection object #906

Color images and BPZ results
Catalog: 906.cat
Black segments are analyzed here.   Roll mouse over color images to view segments.
Best viewed in a wide browser window (1200 pixels or more).   Download SED & P(z) plots to view larger versions.
In P(z) plots: Yellow lines mark the cluster redshift z = 0.972,  

Object #906   x,y = (6562, 6706)   RA, Dec = (06:15:49.248, -57:46:20.28) = (93.95520, -57.77230)   BPZ = 1.227 [0.393--7.945]   type = 6.00 (Sbc_B10)   stellarity = 0.40   chisq2 = 0.94   ODDS = 0.06   z_cluster = 0.972