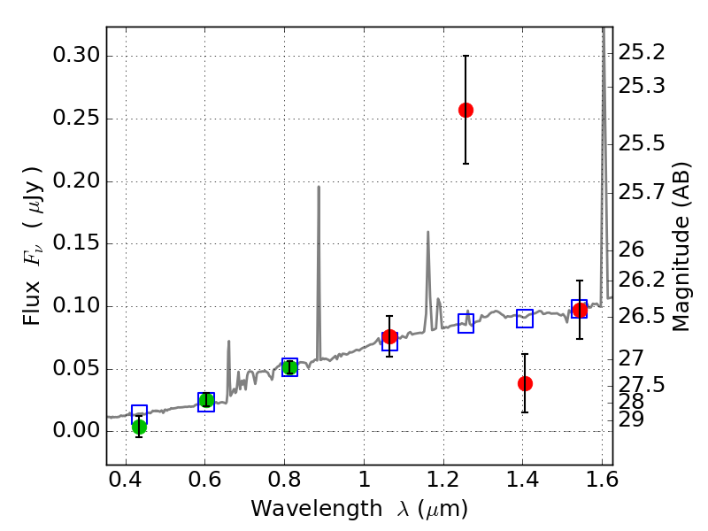
SPT0615-57 IR detection object #904

Color images and BPZ results
Catalog: 904.cat
Black segments are analyzed here.   Roll mouse over color images to view segments.
Best viewed in a wide browser window (1200 pixels or more).   Download SED & P(z) plots to view larger versions.
In P(z) plots: Yellow lines mark the cluster redshift z = 0.972,  

Object #904   x,y = (5614, 6706)   RA, Dec = (06:15:56.376, -57:46:20.28) = (93.98490, -57.77230)   BPZ = 0.773 [0.229--4.295]   type = 7.60 (SB1_B10 - Scd_B10)   stellarity = 0.01   chisq2 = 5.16   ODDS = 0.21   z_cluster = 0.972