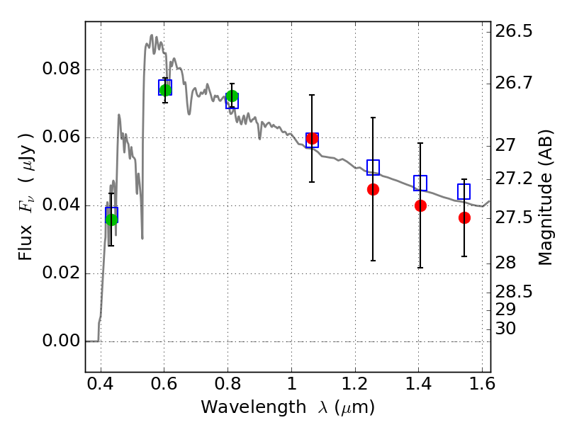
SPT0615-57 IR detection object #769

Color images and BPZ results
Catalog: 769.cat
Black segments are analyzed here.   Roll mouse over color images to view segments.
Best viewed in a wide browser window (1200 pixels or more).   Download SED & P(z) plots to view larger versions.
In P(z) plots: Yellow lines mark the cluster redshift z = 0.972,  

Object #769   x,y = (6488, 6466)   RA, Dec = (06:15:49.800, -57:46:34.68) = (93.95750, -57.77630)   BPZ = 3.378 [0.298--3.591]   type = 11.00 (SB11_A_0_l)   stellarity = 0.00   chisq2 = 0.18   ODDS = 0.78   z_cluster = 0.972