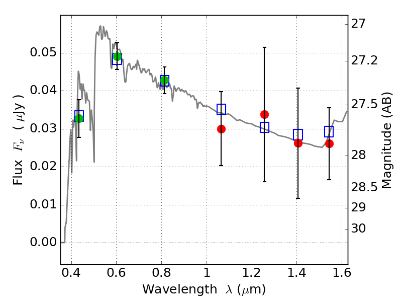
SPT0615-57 IR detection object #66

Color images and BPZ results
Catalog: 66.cat
Black segments are analyzed here.   Roll mouse over color images to view segments.
Best viewed in a wide browser window (1200 pixels or more).   Download SED & P(z) plots to view larger versions.
In P(z) plots: Yellow lines mark the cluster redshift z = 0.972,  

Object #66   x,y = (5577, 5149)   RA, Dec = (06:15:56.640, -57:47:53.52) = (93.98600, -57.79820)   BPZ = 3.131 [0.067--3.334]   type = 11.00 (SB11_A_0_l)   stellarity = 0.69   chisq2 = 0.11   ODDS = 0.57   z_cluster = 0.972