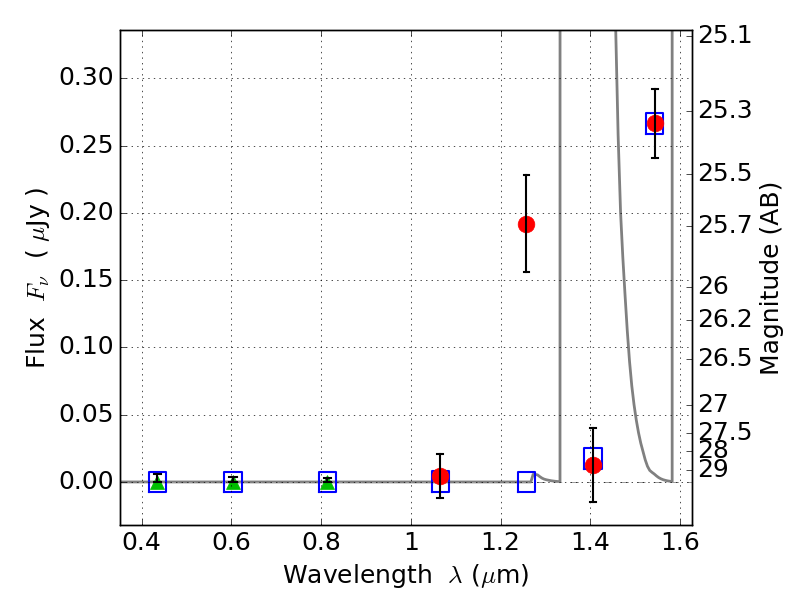
SPT0615-57 IR detection object #63

Color images and BPZ results
Catalog: 63.cat
Black segments are analyzed here.   Roll mouse over color images to view segments.
Best viewed in a wide browser window (1200 pixels or more).   Download SED & P(z) plots to view larger versions.
In P(z) plots: Yellow lines mark the cluster redshift z = 0.972,  

Object #63   x,y = (6539, 5138)   RA, Dec = (06:15:49.416, -57:47:54.24) = (93.95590, -57.79840)   BPZ = 12.028 [11.465--12.953]   type = 9.00 (SB2_B10)   stellarity = 0.88   chisq2 = 5.70   ODDS = 0.69   z_cluster = 0.972