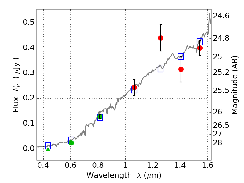
SPT0615-57 IR detection object #609

Color images and BPZ results
Catalog: 609.cat
Black segments are analyzed here.   Roll mouse over color images to view segments.
Best viewed in a wide browser window (1200 pixels or more).   Download SED & P(z) plots to view larger versions.
In P(z) plots: Yellow lines mark the cluster redshift z = 0.972,  

Object #609   x,y = (5854, 6192)   RA, Dec = (06:15:54.576, -57:46:51.24) = (93.97740, -57.78090)   BPZ = 0.780 [0.608--5.407]   type = 5.70 (Sbc_B10 - ES0_B10)   stellarity = 0.01   chisq2 = 1.42   ODDS = 0.57   z_cluster = 0.972