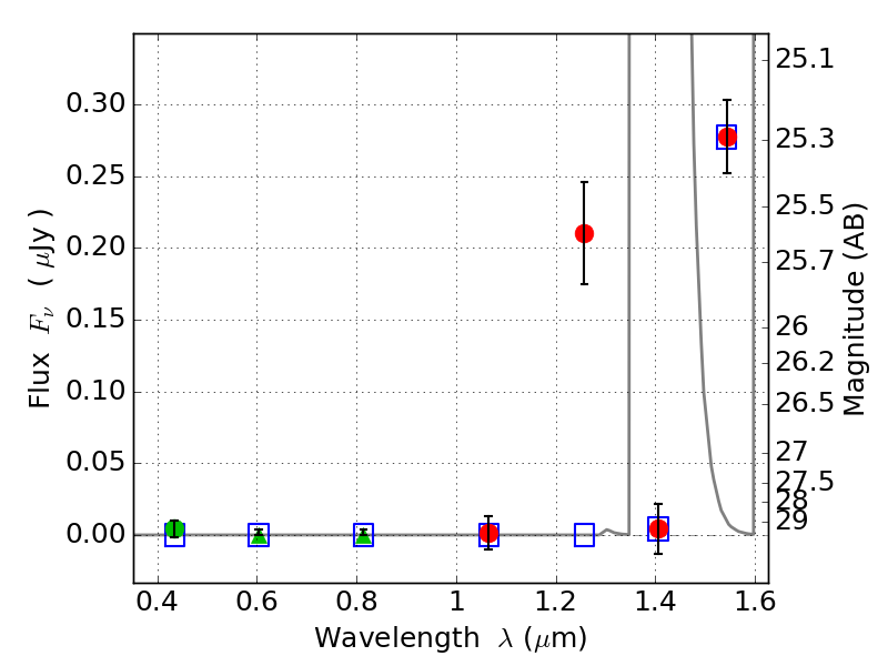
SPT0615-57 IR detection object #56

Color images and BPZ results
Catalog: 56.cat
Black segments are analyzed here.   Roll mouse over color images to view segments.
Best viewed in a wide browser window (1200 pixels or more).   Download SED & P(z) plots to view larger versions.
In P(z) plots: Yellow lines mark the cluster redshift z = 0.972,  

Object #56   x,y = (6241, 5105)   RA, Dec = (06:15:51.672, -57:47:56.40) = (93.96530, -57.79900)   BPZ = 12.251 [11.913--12.965]   type = 10.90 (SB11_A_0_l - SB3_B10)   stellarity = 0.75   chisq2 = 6.90   ODDS = 0.83   z_cluster = 0.972