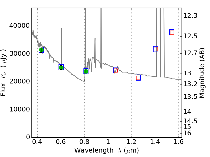
SPT0615-57 IR detection object #553

Color images and BPZ results
Catalog: 553.cat
Black segments are analyzed here.   Roll mouse over color images to view segments.
Best viewed in a wide browser window (1200 pixels or more).   Download SED & P(z) plots to view larger versions.
In P(z) plots: Yellow lines mark the cluster redshift z = 0.972,  

Object #553   x,y = (6532, 7251)   RA, Dec = (06:15:49.488, -57:45:47.52) = (93.95620, -57.76320)   BPZ = 1.169 [1.080--1.335]   type = 11.00 (SB11_A_0_l)   stellarity = 1.00   chisq2 = 0.00   ODDS = 0.84   z_cluster = 0.972