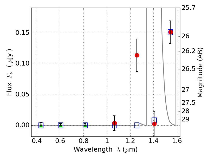
SPT0615-57 IR detection object #552

Color images and BPZ results
Catalog: 552.cat
Black segments are analyzed here.   Roll mouse over color images to view segments.
Best viewed in a wide browser window (1200 pixels or more).   Download SED & P(z) plots to view larger versions.
In P(z) plots: Yellow lines mark the cluster redshift z = 0.972,  

Object #552   x,y = (4906, 6087)   RA, Dec = (06:16:01.680, -57:46:57.36) = (94.00700, -57.78260)   BPZ = 12.104 [10.094--12.952]   type = 9.00 (SB2_B10)   stellarity = 0.78   chisq2 = 4.09   ODDS = 0.68   z_cluster = 0.972