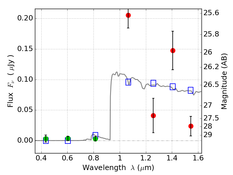
SPT0615-57 IR detection object #55

Color images and BPZ results
Catalog: 55.cat
Black segments are analyzed here.   Roll mouse over color images to view segments.
Best viewed in a wide browser window (1200 pixels or more).   Download SED & P(z) plots to view larger versions.
In P(z) plots: Yellow lines mark the cluster redshift z = 0.972,  

Object #55   x,y = (6253, 5102)   RA, Dec = (06:15:51.576, -57:47:56.40) = (93.96490, -57.79900)   BPZ = 6.633 [6.425--6.923]   type = 11.00 (SB11_A_0_l)   stellarity = 0.92   chisq2 = 10.88   ODDS = 0.98   z_cluster = 0.972