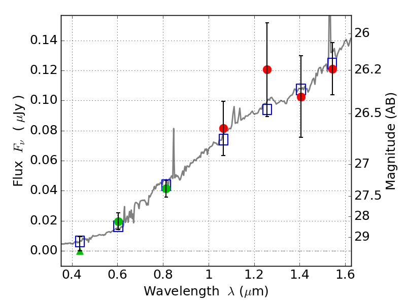
SPT0615-57 IR detection object #464

Color images and BPZ results
Catalog: 464.cat
Black segments are analyzed here.   Roll mouse over color images to view segments.
Best viewed in a wide browser window (1200 pixels or more).   Download SED & P(z) plots to view larger versions.
In P(z) plots: Yellow lines mark the cluster redshift z = 0.972,  

Object #464   x,y = (6866, 5948)   RA, Dec = (06:15:46.968, -57:47:05.64) = (93.94570, -57.78490)   BPZ = 0.687 [0.344--1.577]   type = 6.30 (Sbc_B10 - Scd_B10)   stellarity = 0.42   chisq2 = 0.32   ODDS = 0.17   z_cluster = 0.972