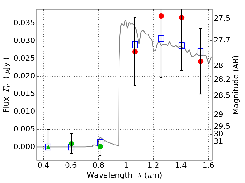
SPT0615-57 IR detection object #364

Color images and BPZ results
Catalog: 364.cat
Black segments are analyzed here.   Roll mouse over color images to view segments.
Best viewed in a wide browser window (1200 pixels or more).   Download SED & P(z) plots to view larger versions.
In P(z) plots: Yellow lines mark the cluster redshift z = 0.972,  

Object #364   x,y = (4987, 5805)   RA, Dec = (06:16:01.080, -57:47:14.28) = (94.00450, -57.78730)   BPZ = 6.801 [1.670--8.170]   type = 11.00 (SB11_A_0_l)   stellarity = 0.70   chisq2 = 0.18   ODDS = 0.46   z_cluster = 0.972