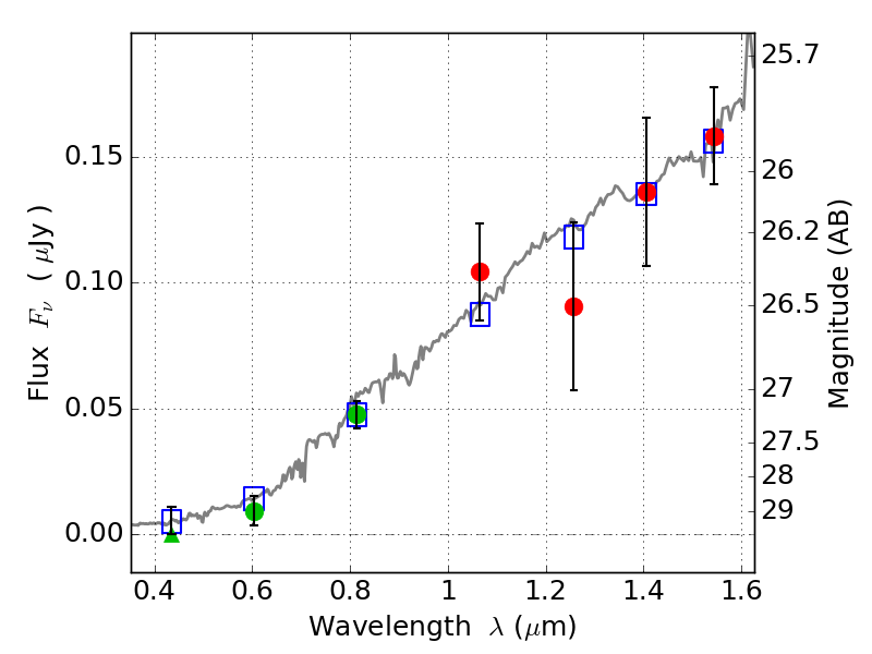
SPT0615-57 IR detection object #341

Color images and BPZ results
Catalog: 341.cat
Black segments are analyzed here.   Roll mouse over color images to view segments.
Best viewed in a wide browser window (1200 pixels or more).   Download SED & P(z) plots to view larger versions.
In P(z) plots: Yellow lines mark the cluster redshift z = 0.972,  

Object #341   x,y = (5909, 5762)   RA, Dec = (06:15:54.144, -57:47:16.80) = (93.97560, -57.78800)   BPZ = 0.782 [0.537--5.664]   type = 5.90 (Sbc_B10 - ES0_B10)   stellarity = 0.00   chisq2 = 0.38   ODDS = 0.32   z_cluster = 0.972