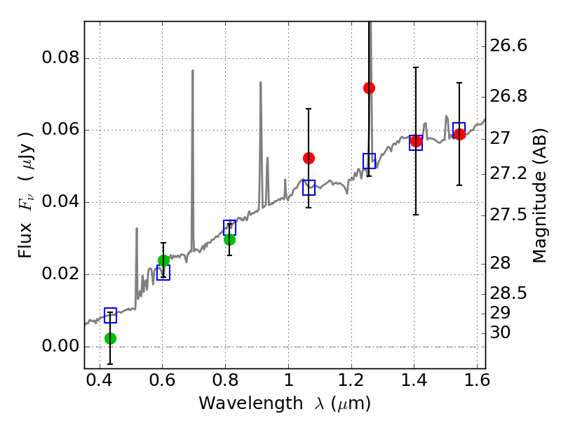
SPT0615-57 IR detection object #338

Color images and BPZ results
Catalog: 338.cat
Black segments are analyzed here.   Roll mouse over color images to view segments.
Best viewed in a wide browser window (1200 pixels or more).   Download SED & P(z) plots to view larger versions.
In P(z) plots: Yellow lines mark the cluster redshift z = 0.972,  

Object #338   x,y = (6845, 5750)   RA, Dec = (06:15:47.136, -57:47:17.52) = (93.94640, -57.78820)   BPZ = 0.393 [0.197--4.023]   type = 7.40 (Scd_B10 - SB1_B10)   stellarity = 0.00   chisq2 = 0.54   ODDS = 0.10   z_cluster = 0.972