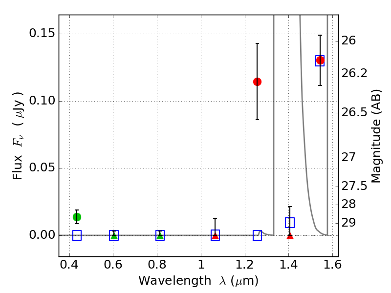
SPT0615-57 IR detection object #30

Color images and BPZ results
Catalog: 30.cat
Black segments are analyzed here.   Roll mouse over color images to view segments.
Best viewed in a wide browser window (1200 pixels or more).   Download SED & P(z) plots to view larger versions.
In P(z) plots: Yellow lines mark the cluster redshift z = 0.972,  

Object #30   x,y = (6180, 4977)   RA, Dec = (06:15:52.128, -57:48:03.96) = (93.96720, -57.80110)   BPZ = 11.988 [1.672--12.891]   type = 9.00 (SB2_B10)   stellarity = 0.96   chisq2 = 4.27   ODDS = 0.35   z_cluster = 0.972